Cefotaxima Qualipharm 1G/Vial polvo para solución inyectable I.M., I.V.
Cefotaxima (como cefotaxima sódica).........................................1.00 g
Excipiente con efecto conocido: sodio.
Cada vial de Cefotaxima Qualipharm 1g polvo para solución inyectable I.M., I.V. contiene aproximadamente 48 mg (2,09 mmol) de sodio. Para consultar lista completa de excipientes, ver sección 6.1.
Es un polvo blanco o ligeramente amarillo, con olor característico, libre de partículas extrañas visibles.
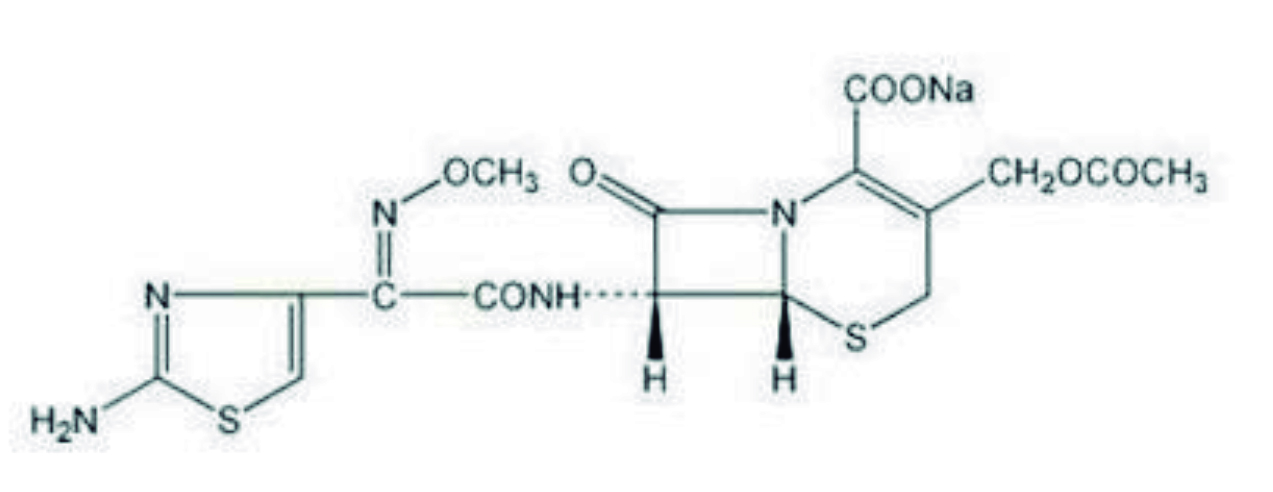
Nombre Químico: Es la sal de sodio de 7- [2- (2-amino-4-tiazolil) glioxilamido] -3- (hidroximetil) -8-oxo-5-tia-1-azabiciclo [4.2.0] oct-2-eno -2-carboxilato 72 (Z) - (o- Formula Molecular: C16H16N5NaO7S2
Peso Molecular: 477,45 g/mol
Infecciones graves causadas por microorganismos patógenos sensibles a cefotaxima (ver sección 5.1):
- Infecciones Respiratorias.
- Infecciones Otorrinolaringológicas.
- Infecciones Renales y del Tracto Urinario.
- Infecciones de la piel y de las partes blandas.
- Infecciones de huesos y articulaciones.
- Infecciones ginecológicas, incluida gonorrea.
- Infecciones abdominales (incluida peritonitis.)
- Meningitis.
- Enfermedad de Lyme (especialmente en estadios II y III).
- Sepsis
- Endocarditis.
Profilaxis perioperatoria de pacientes con mayor riesgo por infecciones. Se deben tener en cuenta las recomendaciones oficiales sobre el uso adecuado de antibióticos cuando se use Cefotaxima.
2. Posología y Forma de Administración:
Posología
Adolescentes y niños mayores de 12 años La experiencia clínica demuestra que cefotaxima deberá administrarse por vía intravenosa en infecciones graves complicadas. Los adultos y niños mayores de 12 años generalmente reciben de 1 a 2 g de cefotaxima cada 12 horas. En infecciones severas, la dosis diaria puede aumentarse hasta 12 g. La dosis diaria hasta 6 g puede repartirse en al menos dos dosis fraccionadas administradas cada 12 horas. Las dosis diarias mayores deben repartirse en al menos de 3 a 4 dosis fraccionadas administradas cada 8 o 6 horas.
La tabla siguiente puede considerarse una pauta de administración:
| Tipo de infección | Dosis única de cefotaxima | Intervalo de dosificación | Dosis diaria de cefotaxima |
| Infecciones típicas en las que se detecta o sospecha la presencia de un microorganismo patógeno sensible | 1 g | 12 horas | 2 g |
| Infecciones en las que se detecta o sospecha la presencia de diferentes microorganismos patógenos con una sensibilidad media o alta | 2 g | 12 horas | 4 g |
| Enfermedades bacterianas no determinadas que no pueden localizarse, así como en situaciones amenazantes para el paciente | 2-3 g | 8 horas
hasta 6 horas hasta 4 horas |
6 g hasta 8 g hasta 12 g |
Población pediátrica
Los lactantes y niños hasta 12 años reciben de 50 a 100 mg de Cefotaxima (hasta 150 mg) por Kg de peso corporal diariamente, dependiendo de la gravedad de la infección, repartidos en dosis fraccionadas iguales administradas en intervalos de 12 (a 6) horas.
En casos individuales, especialmente en situaciones con riesgo vital, puede ser preciso aumentar la dosis diaria a 200 mg de Cefotaxima por Kg de peso corporal.
En prematuros no deben excederse dosis de 50 mg de Cefotaxima por Kg de peso corporal al día, teniendo en cuenta su función renal inmadura.
Recomendaciones especiales de administración
Gonorrea
Para el tratamiento de la gonorrea en adultos, se administran 0.5 g de Cefotaxima por vía intramuscular en una dosis única.
Los microorganismos patógenos menos sensibles pueden requerir una dosis mayor. Antes de iniciar el tratamiento, comprobar la presencia de sífilis.
Profilaxis perioperatoria de infecciones
Para la profilaxis perioperatoria de infecciones, se recomienda la administración de 1 a 2 g de cefotaxima entre 30 y 60 minutos antes de la intervención quirúrgica. Dependiendo del riesgo de infección, puede repetirse la administración de la misma dosis.
Enfermedad de Lyme
La dosis diaria es de 6 g de Cefotaxima (de 14 a 21 días). En la mayoría de las ocasiones, la dosis se reparte en 3 dosis fraccionadas (2 g de cefotaxima 3 veces al día), pero en algunos casos se ha administrado en 2 dosis fraccionadas (3 g de cefotaxima 2 veces al día). Las recomendaciones de la pauta posológica no se basan en ensayos clínicos comparativos sino en observaciones de pacientes individuales.
Tratamiento combinado
En infecciones graves con un riego vital está indicado un tratamiento combinado de cefotaxima con aminoglucósidos sin un antibiograma. Cuando se combina con aminoglucósidos, debe controlarse la función renal.
En casos de infección por Pseudomonas aeruginosa, también podría estar indicado el tratamiento combinado con otros antibióticos eficaces contra Pseudomonas.
Para la profilaxis de infecciones en pacientes con un sistema inmunitario debilitado, también podría estar indicado el tratamiento combinado con otros antibióticos apropiados.
Posología en la disfunción renal
Después de una dosis inicial normal, la dosis de mantenimiento en los pacientes con un aclaramiento de creatinina menor de 10 mL/min debe reducirse a la mitad de la dosis normal, manteniéndose el intervalo de administración.
Los pacientes en hemodiálisis reciben de 1 a 2 g de cefotaxima diarios, dependiendo de la gravedad de la infección. El día de la hemodiálisis, la cefotaxima debe administrarse después de la diálisis.
Los pacientes en diálisis peritoneal reciben de 1 a 2 g de cefotaxima diarios, dependiendo de la gravedad de la infección.
La cefotaxima no se elimina mediante diálisis peritoneal.
Forma de Administración
Administración Intravenosa
Para prepara la dilución inicial de uso intravenoso, añadir 10 mL de agua estéril para inyectable al vial 1g.
Se han observado arritmias potencialmente mortales con la inyección rápida a través de un catéter venoso central (CVC).
Administración Intramuscular
Para preparar la dilución inicial para uso intramuscular, deberá disolverse en 4 mL de solución de Solución de Lidocaína al 1%. Debe evitarse la inyección intravascular, dado que la lidocaína administrada por vía intravascular puede causar inquietud, taquicardia, vómitos, anomalías de la conducción y confusiones.
El compuesto de cefotaxima y lidocaína no debe administrarse a niños menores de 30 meses de edad.
Se recomienda no inyectar más de 4 ml en un mismo lado. Si la dosis excede de 2 g de cefotaxima o si cefotaxima se inyecta más de dos veces al día, se recomienda la administración intravenosa. La duración del tratamiento depende de la evolución de la enfermedad.
3. Contraindicaciones:
Hipersensibilidad al principio activo o a algunos de los excipientes incluidos en la sección 6.1. Debido al riesgo de choque anafiláctico, Cefotaxima Qualipharm está contraindicado en caso de que antecedentes conocidos de reacciones de hipersensibilidad inmediata o grave a cefotaxima y otras cefalosporinas; también en caso de reacciones anafilácticas a la penicilina o a otros antibióticos betalactámicos.
El uso de cefotaxima mezclada con lidocaína para inyección intramuscular no está indicado en niños menores de 30 meses de edad. Se debe tener en cuenta el prospecto para la preparación del producto que contiene lidocaína.
4. Advertencias y precauciones especiales de empleo:
Reacciones anafilácticas Se han notificado reacciones de hipersensibilidad graves, incluyendo mortales (por ejemplo; angioedema, broncoespasmo, anafilaxia a choque) en pacientes que reciben cefotaxima (ver secciones 4.3 y 4.8).
En estos casos, el tratamiento con cefotaxima debe interrumpirse e instaurar el tratamiento oportuno (por ejemplo; tratamiento contra el choque).
Debe procederse con especial precaución antes de la administración de cefotaxima en pacientes con hipersensibilidad a la penicilina y otros antibióticos betalactámicos, pues podría haber reacciones cruzadas (para contraindicaciones en reacciones conocidas de hipersensibilidad, ver sección 4.3).
En pacientes con otros tipos de reacciones alérgicas (por ejemplo; rinoconjuntivitis o asma bronquial), cefotaxima debería usarse también con especial precaución, dado que en casos el riesgo de reacciones de hipersensibilidad graves es mayor.
Reacciones ampollosas graves
Se han notificado con cefotaxima casos de reacciones cutáneas ampollosas graves como Síndrome de Stevens-Johnson, Eritema Multiforme, Necrólisis Epidérmica Tóxica y Pustulosis Exantemática Aguda Generalizada (ver sección 4.8).
Se debe recomendar a los pacientes que se comuniquen inmediatamente con su médico antes de continuar con el tratamiento si se producen reacciones cutáneas o mucosas.
Enfermedad asociada a Clostridium difficile (por ejemplo; Colitis Seudomembranosa)
La diarrea grave y persistente durante las primeras semanas después del tratamiento puede ser una enfermedad asociada a Clostridium difficile que, en su forma más grave como colitis seudomembranosa, puede ser mortal. El diagnóstico puede confirmarse mediante estudios endoscópicos o histológicos. Si se sospecha la presencia de colitis seudomembranosa, el tratamiento con cefotaxima debe suspender inmediatamente e iniciar un tratamiento adecuado de inmediato (por ejemplo; administración de antibióticos especiales/antibióticos cuya eficacia se haya demostrado clínicamente). No deben administrarse medicamentos que limiten el peristaltismo intestinal. Una enfermedad asociada a Clostridium difficile podría verse facilitada en caso de retención fecal.
Reacciones hematológicas
Durante el tratamiento con cefotaxima, especialmente después del uso prolongado, se puede desarrollar leucopenia, neutropenia y, más raramente, insuficiencia medular, pancitopenia o agranulocitosis. Por lo tanto, deben realizarse análisis de sangre en caso de que el tratamiento dure más de 7 a 10 días. En caso de variaciones en el hemograma, debe considerarse la suspensión del tratamiento con cefotaxima.
Se han notificado algunos casos de eosinofilia y trombocitopenia y anemia hemolítica, rápidamente reversibles después de la suspensión del tratamiento con cefotaxima (ver sección 4.8).
Encefalopatía
Los antibióticos betalactámicos, incluida la cefotaxima, pueden aumentar el riesgo del paciente de presentar encefalopatías, que podrían causar también con convulsiones, confusión, alteración de la conciencia y discinesias. Esto puede ocurrir cuando se emplean dosis altas, en caso de sobredosis o en pacientes con disfunción renal (ver secciones 4.8 y 4.9). Debe aconsejarse a los pacientes que consulten con un médico inmediatamente si se producen estas reacciones. En caso de convulsiones, están indicados los procedimientos de urgencia habituales y el tratamiento con cefotaxima debe interrumpirse después de la evaluación de los beneficios y riesgos.
Pacientes con insuficiencia renal
La dosis se debe ajustar según el cálculo del aclaramiento de creatinina (ver sección 4.2). Debe tenerse precaución a la hora de administrar cefotaxima junto con aminoglucósidos u otros productos nefrotóxicos (ver sección 4.5).
La función renal debe monitorizarse en estos pacientes, en los pacientes ancianos y en aquellos con insuficiencia renal previa.
Precauciones de administración
Se ha descrito que algunos pacientes han experimentado arritmias cardiacas potencialmente mortales después de la inyección rápida de cefotaxima a través de catéter venoso central (CVC). Por lo tanto, debe respetarse la velocidad de inyección (ver sección 4.2).
Vigilancia
Al igual que con el uso de otros antibióticos, la administración de cefotaxima (especialmente durante periodos de tratamiento prolongados) puede aumentar el número de microorganismos patógenos que no son sensibles al medicamento que se utiliza. Se debe prestar atención a los signos de una posible infección sobrevenida por dichos microorganismos patógenos. Las infecciones sobrevenidas se deben tratar en consecuencia.
Cefotaxima no es adecuada para el tratamiento de la sífilis.
No hay experiencia clínica suficiente sobre infecciones por Salmonella typi, Paratyphi A y Paratyphi B.
Efecto en las pruebas de laboratorio
Al igual que ocurre con otras cefalosporinas, sea obtenido un resultado positivo en el test de Coombs en algunos pacientes tratados con cefotaxima.
Este hecho puede interferir con las pruebas sanguíneas cruzadas que comprueban la compatibilidad de la sangre antes de una transfusión. La determinación de glucosa en orina con agentes reductores no específicos podría dar lugar a resultados falsos positivos. Este hecho no se ha observado cuando se utiliza un método especifico de glucosa-oxidasa.
Consumo de sodio
Cefotaxima Qualipharm 1g contiene aproximadamente 48 mg (2,0.9 mmol) de sodio por dosis, equivalente a un 2,4 % de la ingesta máxima diaria de 2 g de sodio recomendada por la OMS para un adulto.
5. Interacción con otros medicamentos y otras formas de interacción:
Otros antibióticos
Cefotaxima no se debe combinar con agentes bacteriostáticos (por ejemplo; tetraciclina, eritromicina, cloranfenicol o sulfonamidas), ya que tiene un efecto antibacteriano in vitro. Se puede producir un efecto sinérgico cuando se combina con aminoglucósidos.
Medicación uricosúrica
El probenecid interfiere en la transferencia tubular de cefotaxima en el riñón, lo que aproximadamente duplica la exposición a cefotaxima y reduce el aclaramiento renal a la mitad a dosis terapéuticas. Debido al amplio intervalo terapéutico de cefotaxima, no es necesario reducir la dosis en pacientes con función renal normal, mientras que el ajuste de la dosis puede estar indicado en pacientes con disfunción renal (ver secciones 4.2 y 4.4).
Aminoglucósidos y diuréticos
En combinación con medicación posiblemente perjudicial para el riñón (como antibióticos aminoglucósidos, polimixina B y colistina) o diuréticos potentes (como furosemida), al igual que con otras cefalosporinas, se debe vigilar la función renal, pues puede aumentar la nefrotoxicidad de las sustancias indicadas (ver sección 4.4).
6 Fertilidad, embarazo y lactancia:
Embarazo
No se ha establecido la seguridad de cefotaxima en mujeres embarazadas. Los estudios en animales no indican efectos perjudiciales directos o indirectos con respecto a la toxicidad reproductiva. Sim embargo, no hay estudios adecuados y bien controlados en mujeres embarazadas. Cefotaxima atraviesa la barrera placentaria. Por lo tanto, no se debe usar cefotaxima durante el embarazo a menos que el beneficio supere los riesgos potenciales.
Lactancia
Cefotaxima pasa a la leche materna.
No pueden descartarse efectos sobre la flora intestinal fisiológica del bebé lactante que puedan conducir a diarrea, colonización por levaduras como los hongos y sensibilización del lactante. Por lo tanto, debe valorarse la interrupción de la lactancia materna o la suspensión del tratamiento teniendo en cuenta los beneficios de la lactancia para el bebé y los beneficios del tratamiento para la mujer.
7 Efectos sobre la capacidad para conducir y utilizar máquinas:
Según la experiencia previa, cefotaxima en dosis bajas y medias no afecta la capacidad para concentrarse y reaccionar. Si se ocurren efectos secundarios, como mareo o encefalopatía (que pueden asociarse a convulsiones, confusión, alteración de la conciencia y movimientos anormales), se debe evitar conducir y utilizar máquinas (ver también secciones 4.4 y 4.8).
8 Reacciones adversas:
| Clasificación de órganos del sistema | Muy frecuentes (≥1/10) | Frecuentes (≥1/100 a <1/10) | Poco frecuentes (≥1/1.000 a <1/100) | Frecuencia no conocida (no puede estimarse a partir de los datos disponibles)1 |
| Infecciones e infestaciones | Superinfecciones (ver sección 4.4), p. ej., candidiasis bucal o vaginal | |||
| Trastornos de la sangre y del sistema linfático | Granulocitopenia, leucocitopenia, eosinofilia, trombocitopenia | Insuficiencia de la médula ósea, pancitopenia, neutropenia, agranulocitosis (ver sección 4.4), anemia hemolítica | ||
| Trastornos de la sangre y del sistema linfático | Granulocitopenia, leucocitopenia, eosinofilia, trombocitopenia | Insuficiencia de la médula ósea, pancitopenia, neutropenia, agranulocitosis (ver sección 4.4), anemia hemolítica | ||
| Trastornos del sistema inmunológico | Reacción de Jarisch-Herxheimer | Reacciones anafilácticas, angioedema, broncoespasmo, choque anafiláctico | ||
| Trastornos del sistema nervioso | Convulsiones (ver sección 4.4) | Cefalea, mareo, encefalopatía3 (ver sección 4.4) | ||
| Trastornos cardíacos | Taquicardia, arritmia después de administración de inyección rápida mediante un CVC | |||
| Trastornos gastrointestinales | Diarrea, pérdida de apetito | Náuseas, vómitos, dolor abdominal, enterocolitis (también hemorrágica), colitis pseudomembranosa (ver sección 4.4) | ||
| Trastornos hepatobiliares | Incremento de las enzimas hepáticas (ALAT, ASAT, LDH, γ-GT o fosfatasa alcalina) o bilirrubina | Hepatitis1 (posiblemente con ictericia) | ||
| Trastornos de la piel y del tejido subcutáneo | Exantema, prurito, urticaria | Eritema multiforme, síndrome de Stevens-Johnson, necrólisis epidérmica tóxica, pustulosis exantemática aguda generalizada (ver sección 4.4) | ||
| Trastornos musculoesqueléticos y del tejido conjuntivo | Síntomas relacionados con las articulaciones (p. ej., hinchazón) | |||
| Trastornos renales y urinarios | Disfunción renal/ aumento de la creatinina y la urea (especialmente cuando se administra conjuntamente con aminoglucósidos) | Insuficiencia renal aguda (ver sección 4.4), nefritis intersticial | ||
| Trastornos generales y alteraciones en el lugar de administración | Dolor en la zona de inyección, mediante administración i.m.: induración | Fiebre, reacciones inflamatorias en el lugar de administración, incluida flebitis/tromboflebitis | Sensación de calor y vómitos con inyección i.v. rápida |
Experiencia post comercialización.
Durante el tratamiento de infecciones por espiroquetas (por ejemplo; enfermedad de Lyme), se puede desarrollar una reacción de Jarisch-Herxheimer, con fiebre, escalofríos, cefalea y molestias articulares. Después de varias semanas de administrar el tratamiento contra la enfermedad de Lyme, se han descrito uno o más de los síntomas siguientes: erupción cutánea, prurito, fiebre, leucopenia, aumento de enzimas hepáticas, dificultad para respirar y molestias articulares. Estos síntomas corresponden parcialmente a los síntomas de la enfermedad subyacente de los pacientes tratados.
Los antibióticos betalactámicos, incluida cefotaxima, pueden aumentar el riesgo del paciente de desarrollar encefalopatías que podrían cursar con estados de excitación del sistema nervioso central, mioclono, convulsiones, confusión alteración de la conciencia y discinesias, especialmente en casos de dosis altas, sobredosis o en pacientes con disfunción renal.
Las elevaciones de las enzimas hepáticas o la bilirrubina rara vez duplica el límite superior de la normalidad e indica formas diversas de daño hepático (por lo general, colestásico, habitualmente asintomático).
Notificación de sospechas de reacciones adversas
Es importante notificar sospechas de reacciones adversas al medicamento tras su autorización. Ello permite una supervisión continuada de la relación beneficio/riesgo del medicamento. Reporte las sospechas de reacciones adversas, fallas farmacéuticas y/o terapéuticas a medicamentos al Centro Nacional de Farmacovigilancia. Telefax: 512-9404 o al correo electrónico [email protected]
9. Sobredosis:
En caso de sobredosis, además de suspender el medicamento, se pueden requerir medidas para acelerar la eliminación. Cefotaxima se puede eliminar mediante hemodiálisis, mientras que la diálisis peritoneal no es eficaz para eliminar la cefotaxima. No existe un antídoto especifico.
Síntomas de sobredosis
Las intoxicaciones en sentido estricto son desconocidas en humanos. Los síntomas se corresponden en gran medida con el perfil de acontecimientos adversos. El uso de antibióticos betalactámicos, incluida cefotaxima, se asocia al riesgo de encefalopatía que cursa con excitación del sistema nervioso central, mioclono, confusión, alteración de la conciencia, discinesias y convulsiones. El uso de dosis altas, la sobredosis y la función renal reducida, la epilepsia y la meningitis aumentan el riesgo de reacciones adversas. Tratamiento
Las convulsiones inducidas centralmente se pueden tratar con diazepam o fenobarbital, pero no con fenitoína. En caso de reacciones anafilácticas, deben adoptarse las medidas inmediatas habituales, si es posible desde el primer signo de aparición de choque. Por lo demás, se recomienda el tratamiento sintomático de los efectos secundarios, cuando sea necesario.
Clase terapéutica según clasificación anatómica terapéutica (ATC)
J Antiinfectivos para uso sistémico.
J01 Antibacterianos para uso sistémico.
J01D Otros beta-lactámicos.
J01DD Cefalosporinas de tercera generación.
J01DD01 Cefotaxima
Mecanismo de acción
La actividad bactericida de cefotaxima resulta de la inhibición de la síntesis de la pared celular bacteriana (durante el período de crecimiento) causada por la inhibición de las proteínas de unión de penicilina (PBP), como las transpeptidasas.
Relación farmacocinética/farmacodinámica
La eficacia depende esencialmente del tiempo durante el que la concentración del principio activo está por encima de la concentración inhibitoria mínima (CIM) del microorganismo patógeno.
Resistencia
La resistencia a cefotaxima puede deberse a los siguientes mecanismos:
- Inactivación por beta-lactamasas: La cefotaxima puede ser hidrolizada por ciertas beta-lactamasas, especialmente por beta-lactamasas de amplio espectro (ESBLs), que pueden encontrarse en cepas de Echericha coli o Klebsiella pneumoniae, o beta-lactamasas codificantes codificadas cromosómicamente o constitutivas del tipo AmpC-beta-lactamasas codificadas por cromosomas inducibles no deben ser tratadas con cefotaxima, incluso en casos de probada sensibilidad in vitro, debido al riesgo de la selección de mutantes con expresión constitutiva (deprimida) de AmpC-beta-lactamasas.
- Afinidad reducida de PBPs a cefotaxima: La resistencia adquirida de los neumococos y otros estreptococos es causada por modificaciones de las PBP ya existentes como consecuencia de un proceso de mutación. A diferencia de lo que sucede con el estafilococo resistente a la metacilina (oxacilina), la creación de un PBP adicional con afinidad reducida por cefotaxima es responsable de la resistencia.
- Inadecuada penetración de cefotaxima a través de la membrana celular externa de bacterias gran negativas, de manera que la inhibición de la PBP es insuficiente.
- Bombas de eflujo capaz de transportar activamente cefotaxima fuera de la célula.
Una resistencia cruzada completa de cefotaxima se produce con ceftriaxona y parcialmente con otras penicilinas y cefalosporinas.
Eficacia clínica contra microorganismos patógenos específicos.
La prevalencia de la resistencia adquirida puede variar geográficamente y con el tiempo en especies seleccionadas y la información local sobre resistencia es deseable, particularmente en el tratamiento de infecciones severas. Si la eficacia de la cefotaxima es cuestionable debido a la prevalencia local de resistencia, se debe buscar una opinión experta con respecto a la elección de la terapia.
Especies frecuentemente sensibles
Aerobios gram positivos
Staphylococcus aureus (sensible a meticilina)
Streptococcus agalactiae°
Streptococcus pneumoniae (incluyendo cepas resistentes a penicilina)
Streptococcus pyogenes
Aerobios gram negativos
Borrelia burgdorferi°
Haemophilus influenzae
Klebsiella oxytoca%
Moraxella catarrhalis°
Neisseria gonorrhoeae°
Neisseria meningitidis°
Proteus mirabilis%
Proteus vulgaris°
Especies cuya resistencia adquirida puede ser un problema
Aerobios gram positivos
Staphylococcus aureus∋
Staphylococcus epidermidis+
Staphylococcus haemolyticus+
Staphylococcus hominis+
Aerobios gram negativos
Citrobacter freundii
Enterobacter aerogenes
Enterobacter cloacae
Escherichia coli%
Klebsiella pneumoniae%
Morganella morganii
Serratia marcescens
Aerobios
Bacteroides fragilis
Microorganismos intrínsecamente resistentes
Aerobios gram positivos
Enterococcus spp.
Listeria monocytogenes
Staphylococcus aureus (resistente a meticilina)
Aerobios gram negativos
Acinetobacter spp.
Legionella pneumophila
Pseudomonas aeruginosa
Stenotrophomonas maltophilia
Aerobios
Clostridium difficile
Otros
Chlamydia spp.
Chlamydophila spp.
Mycoplasma spp.
Treponema pallidum
No había datos actualizados en el momento en que se publicó la tabla. La literatura médica principal, las publicaciones de referencia y las recomendaciones sobre tratamiento dan por sentado la sensibilidad.
+En al menos una región, la tasa de resistencia es superior al 50 %.
%Las cepas productoras de beta-lactamasa (ESBL) de amplio espectro son siempre resistentes. ∋En unidades de cuidados intensivos la tasa de resistencia es <10 %.
2 Propiedades farmacocinéticas:
Absorción
Cefotaxima se administra por vía parenteral. Después de 5 minutos de inyección intravenosa de 1 g de cefotaxima, las concentraciones séricas eran de aproximadamente 81-102 mg/L y, después de 15 minutos, de 46 mg/L.
Después de la administración intramuscular, las concentraciones séricas máximas (aproximadamente 20 mg/L después de 1 g) se alcanzan en un plazo de 30 minutos.
Distribución
Cefotaxima tiene una buena penetración tisular, atraviesa la barrera placentaria y alcanza concentraciones elevadas en tejidos fetales (hasta 6 mg/Kg). Solo un pequeño porcentaje se excreta en la leche materna (concentraciones en la leche materna: 0,4 mg/L después de 2 g). En meninges inflamadas, cefotaxima y desacetil-cefotaxima penetra en el espacio del LCR y alcanza desde allí concentraciones eficaces terapéuticamente (por ejemplo; en infecciones causadas por bacteria gramnegativas y neumococos).
El volumen aparente de distribución es 21-37 L. La unión a proteínas plasmáticas es aproximadamente del 25-40 %.
Biotransformación
Cefotaxima se metaboliza ampliamente en humanos. Aproximadamente el 15-25 % de una dosis parenteral se excreta como O-desacetil-cefotaxima. El metabolito tiene una buena actividad antibacteriana contra diversos patógenos.
Además de la desacetil-cefotaxima hay dos lactonas inactivas. La desacetil-cefotaxima produce una lactona como producto intermedio efímero que no puede detectarse en orina ni plasma porque se transforma rápidamente en estereoisómeros de la lactona de anillo abierto (anillo betalactámico). También se excretan en la orina.
Eliminación
La cefotaxima y la desacetil-cefotaxima se excretan predominantemente por vía renal. Un pequeño porcentaje (aproximadamente el 2 %) se excreta en la bilis. En una recogida de orina de 6 horas, se detectaron el 40-60 % de una dosis en forma inalterada y aproximadamente un 20 % en forma de desacetil-cefotaxima. Después de la administración I.V. de cefotaxima radiomarcada, más del 80 % se detectaba en la orina, correspondiendo el 50-60 % a la sustancia original inalterada y el resto a tres metabolitos.
El aclaramiento total de cefotaxima es de 240-390 ml/min y el aclaramiento renal, 130-150 ml/min.
La semivida sérica es aproximadamente 50-80 minutos. En pacientes de edad avanzada, la semivida es de 120-150 minutos. En caso de disfunción renal grave (aclaramiento de creatinina 3-10 ml/min), la semivida de cefotaxima puede prolongarse a 2,5-10 horas.
En estas condiciones, cefotaxima se acumula únicamente en un pequeño porcentaje, a diferencia de los metabolitos activos e inactivos.
Tanto cefotaxima como desacetil-cefotaxima se eliminan de la sangre, en la mayoría de los casos, con hemodiálisis.
.3. Datos preclínicos sobre seguridad:
La toxicidad de cefotaxima es muy baja. Dependiendo de la especie, la DL50 por vía I.V. varia en los experimentos en animales. En ratones y ratas, es de 9 a 11 g/Kg de peso corporal. Cuando se administra por vía subcutánea, los valores de la DL50 para ratones y ratas de 7 días de edad son de 6,1 a 7,4 g/Kg de peso corporal, y para ratones hembra 18,7 g/Kg de peso corporal.
Potencial mutágeno
Los estudios in vivo en la médula ósea de ratas y ratones no indicaron un potencial mutágeno de cefotaxima.
Toxicidad para la reproducción
Cefotaxima atraviesa la placenta. Después de la administración intravenosa de 1 g de cefotaxima durante el parto, se midieron valores de 14 μg/ml en el suero de cordón umbilical durante los primeros 90 minutos después de la administración, que cayeron a aproximadamente 2,5 μg/ml al final de la segunda posterior a la administración. En el líquido amniótico, se midieron 6,9 μg/ml como concentraciones máximas después de 3-4 horas; este valor supera la CIM para la mayoría de las bacterias gramnegativas.
Los estudios realizados en ratones y ratas no indican efectos nocivos de cefotaxima. La fertilidad de los animales expuestos no se vio alterada.
Ninguno.
2. Incompatibilidades:
Incompatible con cefotaxima:
- solución de bicarbonato sódico.
- soluciones para perfusión con un pH superior a 7.
- aminoglucósidos
Este medicamento no debe mezclarse con otros, excepto con los mencionados en la sección 4.2.
.3. Periodo de validez:
Vial cerrado: 24 meses.
Solución reconstituida
Después de la dilución inicial la solución mantiene su potencia durante 12 horas a temperatura ambiente (menor de 30° C) y durante 7 días si se refrigera a 5°C ± 3 °C.
4. Precauciones especiales de conservación:
Vial cerrado
Este medicamento antes de la reconstitución almacenar a una temperatura entre 15 y 30C, proteger de la luz y humedad. Mantener fuera del alcance de los niños.
Solución reconstituida
Para las condiciones de conservación tras la reconstitución del medicamento, ver sección 6.3.
5. Naturaleza y contenido del envase:
Cefotaxima Qualipharm 1g polvo para solución inyectable I.M., I.V. se presenta en vial de vidrio ámbar Tipo I de 10 mL, con Tapón de Hule y Retapa de Aluminio. En caja de cartón.
Los viales se incluyen en cajas de 100 unidades.
6. Precauciones especiales de eliminación y otras manipulaciones:
Compatibilidad
• Cefotaxima es compatible con:
- Cefotaxima es compatible con:
- Cloruro de sodio 9 mg/ml.
- Glucosa 50 mg/ml.
- Lactato de Ringer.
- Cloruro de sodio 9 mg/ml + Glucosa 50 mg/ml.
- Solución de Lidocaína 10 mg/ml
Cefotaxima también es compatible con una perfusión de metronidazol (5mg/100 ml) y ambos mantendrán su potencia cuando se mantengan refrigerados.
Se deben usar técnicas asépticas para reconstituir la solución.
La solución reconstituida debe administrarse inmediatamente.
La eliminación de medicamento no utilizado y de todos los materiales que hayan estado en contacto con él, se realizara de acuerdo con la normativa local.
Instrucciones para la preparación de la solución inyectable
Para preparar la dilución inicial para uso intramuscular, deberá disolverse en 4 mL de solución de Lidocaína al 1%.
Para preparar la dilución inicial para uso intravenoso, añadir 10mL de agua estéril para inyectable al vial de 1g. POR VIA INTRAVENOSA NO DEBE ADMINISTRARSE CON LIDOCAINA.
7. TITULAR DE LA AUTORIZACIÓN DE COMERCIALIZACIÓN
LABORATORIO QUALIPHARM, S.A. DE GUATEMALA.
Km 20.5 Aldea Sta. Inés, Carretera a San José Pinula, Guatemala, C.A.
8. NÚMERO DE REGISTRO
Panamá R-54421
9. FECHA DE REVISIÓN DEL TEXTO Y VERSIÓN DEL DOCUMENTO
Octubre 2021, versión 01/2021
10. REFERENCIAS BIBLIOGRÁFICAS
- Agencia Española de Medicamentos (AEMPS). Ficha técnica. Valoran 1 g Polvo para Solución Inyectable (Cefotaxima sódica), fecha de revisión de texto mayo de 2018, disponible en:
https://cima.aemps.es/cima/dochtml/ft/83550/FT_83550.html - Sweetman S. Martindale The Complete Drug Reference. 38a ed. Gran Bretaña: Pharmaceutical Press; 2014.
Biralbac AB
Aeroxol
Ambiare jarabe
Aeroxol CL
Ambiare tabletas
Cofedrin gotas
Fexoalergic
Lorabet tabletas
Lorabet jarabe
Fluxone
Terizin tabletas
Bactemicina caplet
Bactemicina inyectable
Biclavuxil suspensión
Biclavuxil caplets
Clavuxil suspensión
Cefina caplets recubiertas
Cefina suspensión
Fosfobac 3g
Levolona 500 mg
Levolona 750 mg
Oltrex
Formiben
Oprestat
Pitavin
Metcemia
Taglip M
Dapaglucol
Iberstat
Taglip
Hiperdipino
Qualistran
Bicardia
Dexkedol tabletas
Dexkedol inyectable
Dexkedol gránulos
Dexkedol N
Dexkedol gel
Pirogésic tableta
Pirogesic inyectable
Pirogesic gel
Texib
Dexkedol N Tabletas
Kerolac
Lozaprem infantil gránulos
Lanolat
Hemfol
Neurofol
Nauxil
Prelacta
Coliverio
Coliverio Plus
Famotin
Gastrobacter
Lozaprem cápsulas
Nitaxin suspensión
Nitaxin caplets
Laxiglicol
Funazin
Naudrato
Citapram
Trazodona
Quetiapina
Lamotrigina
Biperideno
Acido Valproico
Carbonato de Litio
Pregax
Latonin
Flufenazina
Escanso
Dermafast
Bactemicina Crema Vaginal
Hydrogel crema tópica
CalciD
Bactemicina K Crema Vaginal
Septigel
Bactemicina K óvulos
Dermazol crema
Ketospor solución
Ketospor crema
Qualistatina suspensión
Qualistatina gel
Cloramicina
Oftacetamida
Dexamicina ungüento
Dexamicina colirio
Lanolat AD
Rizatrip
Dexa Triviplex
Fortalezza jarabe
Fortalezza inyectable
Triviplex
Dolotriviplex
Cofedrin® 9 a 17 años
Cofedrin® 4 años a 8 años
Bactid spray
Bactid gel
Dexametasona inyectable
Dexametasona tabletas
Complejo B
Fenilbutazona inyectable
Qualifenac inyectable
Penicilina Procaína 4,000,000
Penicilina benzatiníca
Sulfatrimetoprim