Ceftriaxona Qualipharm 1G polvo para solución inyectable I.V.
Cada vial de polvo contiene 1 g de Ceftriaxona (como Ceftriaxona sódica).
Excipiente con efecto conocido:
Cada vial contiene 82.9 mg de sodio.
Cada ml de solución reconstituida contiene 8.29 mg de sodio.
Para consultar la lista completa de excipientes, ver sección 6.1.
Cada vial contiene un polvo cristalino blanco o ligeramente amarillento.
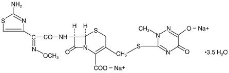
Nombre Químico:La ceftriaxona sódica es (6 R ,7 R)-7-[2-(2-Amino-4-tiazolil)glioxilamido]-8-oxo-3-[[(1,2,5,6-tetrahidro-2-metil ácido -5,6-dioxo- as -triazin-3-il)tio]metil]-5-tia-1-azabiciclo[4.2.0]oct-2-eno-2-carboxílico, 7 2 -( Z )- ( O -metiloxima), sal disódica, sesquaterhidrato.
Formula Molecular:C18H16N8Na2O7S3 •3.5H2O
Fuente: https://www.drugs.com/pro/ceftriaxone.html
Ceftriaxona está indicada en el tratamiento de infecciones graves causadas por microorganismos sensibles a Ceftriaxona (ver secciones 4.2 y 5.1):
- Meningitis bacteriana.
- Infecciones abdominales, tales como peritonitis e infecciones de los tractos biliar.
- Infecciones osteoarticulares.
- Infecciones complicadas de piel y tejidos blandos.
- Infecciones complicadas del tracto urinario (incluyendo pielonefritis).
- Infecciones del tracto respiratorio.
- Infecciones del tracto genital (incluyendo la enfermedad gonocócica).
- Estadios II Y III de la enfermedad de Lyme.
- Tratamiento de pacientes con bacteriemia que ocurre en asociación con, o se sospecha que está asociada con, cualquiera de las infecciones mencionadas anteriormente.
Profilaxis de infecciones postoperatorias, en cirugía contaminada o potencialmente contaminada, fundamentalmente cirugía cardiovascular, procedimientos urológicos y cirugía colorrectal.
Se deben tener en cuenta las recomendaciones oficiales sobre el uso adecuado de agentes antibacterianos.
2. Posología y forma de administración
Posología
La dosis seleccionada para tratar una infección individual debe tener en cuenta, los microorganismos y la sensibilidad al agente antibacteriano, la gravedad de la infección y lugar de la infección y la edad y peso del paciente, así como.
La duración del tratamiento varía en función de la gravedad de la infección y de la respuesta del paciente, y deberá ser, en general, lo más corta posible. En general, la administración de Ceftriaxona se mantendrá durante un mínimo de 48 a 72 horas tras la mejoría del cuadro clínico, o hasta obtener la erradicación microbiológica.
- Adultos y niños mayores de 12 años y niños de ≥ 50 kg:
La dosis usual es 1-2 g de Ceftriaxona administrados una sola vez al día (cada 24 horas). En casos graves o en infecciones causadas por microorganismos moderadamente sensibles, la dosis puede incrementarse hasta un máximo de 4 g una sola vez al día.
Enfermedad gonocócica no complicada
Para el tratamiento de la enfermedad gonocócica (cepas productoras o no de penicilinasa) se recomienda una dosis intramuscular única de 250 mg.
Estadios II y III de la enfermedad de Lyme
Se recomienda administrar una dosis de 50mg/kg de peso hasta un máximo de 2 gramos diarios una vez al día durante 14 días.
Profilaxis perioperatoria
Una única dosis de 1-2 g, 30-90 minutos antes de la intervención. En cirugía colorrectal se debe asociar otro antibiótico de espectro adecuado frente a anaerobios.cTerapia combinada:
En infecciones causadas por gérmenes Gram-negativos puede ser necesaria la asociación con aminoglucósidos, sobre todo si se trata de infecciones graves o que supongan una amenaza para la vida.
Pacientes con alteración renal
En caso de pacientes con función renal alterada, no es preciso reducir la dosis siempre que la función hepática permanezca normal. Sólo en casos de aclaración de creatinina < 10 ml/min., la dosis de Ceftriaxona no deberá exceder de los 2 g diarios.
En pacientes dializados no es preciso administrar una dosis adicional suplementaria tras la sesión de diálisis; en cualquier caso, se controlará la situación clínica del paciente por si fuesen necesarios ajustes de la dosis.
Pacientes con alteración hepática
En caso de alteración de la función hepática, no es necesario reducir la dosis si la función renal está intacta.
En caso de disfunción renal y hepática graves, la dosis de Ceftriaxona no deberá exceder de los 2 g diarios a no ser que se determinan a intervalos regulares las concentraciones plasmáticas y se ajustará la dosis en caso necesario.
Pacientes de edad avanzada
No se requiere modificar las dosis recomendadas para los adultos siempre que no exista deterioro de la función renal y/o hepática.
Población pediátrica
Neonatos (hasta 14 días): 20 a 50 mg/kg de peso, administrados en una única dosis, sin que existan diferencias entre los nacidos a término y los prematuros. No se debe exceder la dosis de 50 mg/kg de peso.
Neonatos (15-28 días), lactantes (de 28 días a 23 meses) y niños (de 2 a 11 años): dosis única diaria de 20- 80 mg/kg de peso.
Meningitis bacteriana en neonatos (15-28 días), lactantes (de 28 días a 23 meses) y niños (de 2 a 11 años):
Se iniciará el tratamiento con dosis de 100 mg/kg (sin exceder los 4 g) una vez al día. Tan pronto como se identifique el germen causal y se determine su sensibilidad se podría ajustar consecuentemente la dosis.
En función de la dosificación, existen otras presentaciones más adecuadas para los diferentes regímenes posológicos.
Forma de administración
Vía intravenosa
Instrucciones para la correcta administración
Debe ser reconstituido antes de su uso.
Para un solo uso. Desechar la solución sobrante.
La solución reconstituida es límpida y amarilla o ligeramente amarillenta. Durante la conservación de soluciones ya preparadas, se puede producir un aumento de la intensidad del color sin afectar a la potencia del fármaco.
Reconstituir cada vial de CEFTRIAXONA QUALIPHARM 1g para uso intravenoso, añadir de 9.6 ml de agua estéril para inyección (para obtener una concentración aproximada de 100 mg por ml).
Debe examinarse la solución antes de inyectarla por si presentase partículas o turbidez. Si se observan partículas extrañas se desechará la solución.
La dosis y pauta de administración utilizada es en función de la edad y peso del paciente, así como la gravedad de la infección.
La solución no debe mezclarse con soluciones conteniendo otros antibióticos o en otras soluciones diferentes de las arriba señaladas.
La eliminación del medicamento no utilizado y de todos los materiales que hayan estado en contacto con él, se realizará de acuerdo con la normativa local.
La administración de la inyección intravenosa directa se realizará en 2-4 minutos. La administración de dosis superiores a 50 mg/kg deberá realizarse mediante perfusión.
Las soluciones que contiene calcio, (por Ej. solución Ringer o solución Hartmann), no se deben utilizar para reconstituir los viales de ceftriaxona ni para diluir un vial reconstituido cuando la administración sea IV ya que pueden formarse precipitados. Se pueden producir también precipitados de ceftriaxona-calcio cuando la ceftriaxona se mezcla con las soluciones que contienen calcio en la misma línea de la administración IV. Por lo tanto, la ceftriaxona y las soluciones que contienen calcio no deben mezclarse ni administrase simultáneamente (ver secciones 4.3, 4.4 y 6.2)
3. Contraindicaciones
Está contraindicada en:
Recién nacidos prematuros hasta la edad corregida de 41 semanas (semanas de gestación + semanas de vida)
Recién nacidos a término (hasta 28 días de edad) con:
• ictericia, o aquellos con hipoalbuminemia o acidosis, ya que con estas condiciones la unión de bilirrubina es probable que esté alterada.
• si se necesita (o se considera que se va a necesitar) tratamiento con calcio IV, o perfusiones que contengan calcio debido al riesgo de precipitación de la ceftriaxona con calcio (ver secciones 4.4, 4.8 y 6.2).
CEFTRIAXONA QUALIPHARM, está contraindicada en pacientes con hipersensibilidad al principio activo o alguno de los excipientes incluidos en la sección 6.1 o a otras cefalosporinas. Así mismo, está contraindicado en pacientes con hipersensibilidad inmediata o grave a las penicilinas o a cualquier otro antibiótico betalactámico.
4. Advertencias y precauciones especiales de empleo
Antes de iniciar el tratamiento con ceftriaxona debe investigarse la posible existencia de antecedentes de hipersensibilidad a cefalosporinas y penicilinas. En enfermos hipersensibles a penicilinas debe tenerse en cuenta la posibilidad de reacciones alérgicas cruzadas.
Se han observado reacciones de hipersensibilidad graves y en ocasiones mortales (anafilaxia) en pacientes tratados con antibióticos beta-lactámicos. Si ocurriera una reacción alérgica se interrumpirá el tratamiento con este medicamento y se instaurará un tratamiento de soporte.
Se han reportado recciones adversas cutáneas graves (Síndrome de Stevens Johnson o Síndrome de Lyell’s/necrólisis epidérmica tóxica y síndrome de reacción a fármaco con eosinofilia y síntomas sistémicos que pueden ser amenazantes para la vida o mortales asociados al tratamiento con ceftriaxona, aunque no se conoce la frecuencia de estos acontecimientos (ver sección 4.8).
El uso de antibióticos, entre ellos la ceftriaxona, puede producir alteración en la flora normal del colon con sobrecrecimiento de Clostridium difficile, cuya toxina puede desencadenar un cuadro de colitis psedomembranosa que cursa con fiebre, dolor abdominal y diarrea que puede ser sanguinolenta. Su aparición puede ocurrir durante el tratamiento o semanas después de finalizado el mismo. Los casos leves responden normalmente a la supresión del tratamiento, pero los casos moderados a graves pueden precisar además de un tratamiento de reposición hidroeléctrica y de un antibiótico efectivo frente aC. difficile.
Los anticolinérgicos y antiperistálticos pueden agravar el estado del paciente.
Como ocurre con los agentes antibacterianos, el uso prolongado de ceftriaxona puede dar lugar a sobreinfecciones causadas por microorganismos resistentes.
La administración de dosis de ceftriaxona generalmente superiores a la recomendada, la duración del tratamiento superior a 14 días, la presencia de deshidratación o de fallo renal pueden dar lugar a precipitados de ceftriaxona cálcica en la vesícula biliar que en la ecografía puede ser interpretada como una litiasis biliar y que, habitualmente suelen desaparecer una vez concluido el tratamiento o tras la retirada el fármaco. En raras ocasiones se han asociado estos signos con síntomas. El médico deberá considerar la conveniencia de suspender el tratamiento en los casos sintomáticos. Si sobrevienen síntomas, se recomienda un tratamiento conservador no quirúrgico.
Estos precipitados biliares afectan más frecuentemente a los niños ya que estos reciben comparativamente dosis superiores si éstas se ajustan en función de su peso corporal. Por ello, no se deben administrar dosis superiores a 80 mg/kg de peso ya que el riesgo de precipitación biliar se ve incrementado.
En raras ocasiones se han descrito casos de pancreatitis en pacientes tratados con ceftriaxona, cuya posible etiología es una obstrucción biliar. La mayoría de los pacientes presentaban de forma concomitante factores de riesgo de estasis biliar y depósito de sedimentos biliares, tales como una intervención quirúrgica previa, una enfermedad grave, o cuando habían recibido nutrición parenteral. Sin embargo, no se puede descartar un efecto desencadenante o de contribución de la ceftriaxona a la precipitación biliar.
Entre los casos de precipitación de la ceftriaxona a nivel renal la mayoría de ellos se dan en niños mayores de tres años tratados bien con dosis diarias elevadas (por ej. ≥ 80 mg/Kg/día), o con dosis totales superiores a los 10 g, y que presentaban otros factores de riesgo (por ej. restricción de fluidos, confinamiento en cama, etc.). Este efecto puede ser sintomático o asintomático, puede conducir a insuficiencia renal y es reversible al interrumpirse el tratamiento.
Durante los tratamientos prolongados con ceftriaxona deberá controlarse regularmente el perfil hematológico.
Reacción de Jarish-Herxheimer (JHR)
Algunos pacientes con infecciones por espiroquetas pueden sufrir una reacción de Jarish-Herxheimer poco después de comenzar el tratamiento con ceftriaxona. La Reacción de Jarish-Herxheimer suele ser una condición autolimitante o puede ser manejada con tratamiento sintomático. No se debe interrumpir el tratamiento con antibióticos si se da una de estas recciones.
Encefalopatía
Se han notificado casos de encefalopatía con el uso de ceftriaxona (ver sección 4.8), en particular en pacientes de edad avanzada con disfunción renal grave (ver sección 4.2) o con trastornos del sistema nervioso central. Si se sospecha de encefalopatía asociada a la ceftriaxona (por ejemplo, menor nivel de consciencia, estado mental alterado, mioclonía o convulsiones), se debe considerar la interrupción del tratamiento con ceftriaxona.
Interferencias con pruebas de laboratorio.
En raros casos el test de Coombs puede dar falsos positivos en pacientes tratados con ceftriaxona. La ceftriaxona, como otros antibióticos, puede dar falsos positivos en los test para galactosemia.
Asimismo, los métodos no enzimáticos para la determinación de glucosa en orina pueden dar falsos positivos. Por esta razón, durante la terapia con ceftriaxona la determinación de glucosa en orina debe llevarse a cabo mediante métodos enzimáticos.
Interacciones con productos que contienen calcio
Se han descrito casos de reacciones mortales en niños prematuros y en recién nacidos a término de menos de 1 mes de edad por precipitados de calcio-ceftriaxona en pulmones y riñones. Al menos uno de ellos había recibido ceftriaxona y calcio a diferentes tiempos y a través de diferentes líneas intravenosas. En los datos científicos disponibles, no hay informes de precipitados intravasculares confirmados en pacientes, con excepción de recién nacidos, tratados con ceftriaxona y soluciones que contienen calcio o con cualquier 5 de 13 otro producto que contenga calcio. Estudios in vitro han demostrado que los recién nacidos tienen un incremento de riesgo de que se formen precipitados de ceftriaxona-calcio en comparación con pacientes de otras edades.
En pacientes con cualquier edad, ceftriaxona no debe mezclarse ni administrarse simultáneamente con ninguna solución IV que contenga calcio, ni incluso por diferentes líneas de perfusión ni en diferentes sitios de perfusión. Sin embargo, en pacientes mayores de 28 días de edad, la ceftriaxona y las soluciones que contienen calcio pueden ser administradas secuencialmente una tras otra si se usan líneas de perfusión en diferentes sitios, o si las líneas de perfusión se substituyen o se limpian con un chorro de solución fisiológica a fondo entre las perfusiones para evitar precipitados. En pacientes que requieren una perfusión continua con soluciones de Nutrición Parenteral Total (NPT) que contienen calcio, los profesionales sanitarios pueden considerar el uso de tratamientos antibacterianos alternativos que no conlleven un riesgo similar de precipitación. Si el uso de ceftriaxona se considera necesario en pacientes que requieren nutrición continua, las soluciones de NPT y ceftriaxona pueden administrarse simultáneamente, aunque por líneas diferentes de perfusión en sitios diferentes. Alternativamente, la perfusión de solución NPT se puede interrumpir durante el período de infusión de ceftriaxona, considerando la recomendación de limpiar las vías de perfusión entre las soluciones. (Ver secciones 4.3, 4.8, 5.2 y 6.2).
Información importante sobre excipientes
Este medicamento contiene 82.9 mg de sodio por cada dosis, lo que debe tenerse en cuenta en el tratamiento de pacientes con dietas pobres en sodio.
5. Interacción con otros medicamentos y otras formas de interacción
No es aconsejable el uso concomitante de ceftriaxona con antibióticos bacteriostáticos, especialmente en el caso de infecciones agudas.
Se ha observado in vitro un efecto antagonista con la combinación de ceftriaxona y cloranfenicol.
La administración simultánea de probenecid a dosis altas (1 ó 2 gramos diarios) puede inhibir la excreción biliar de ceftriaxona. A diferencia de otras cefalosporinas, el probenecid no inhibe la secreción tubular de ceftriaxona.
La eficacia anticonceptiva de los anticonceptivos hormonales puede verse afectada por la administración simultánea de ceftriaxona. Por tanto, se recomienda adoptar medidas adicionales durante el período de tratamiento y en el mes siguiente.
6. Fertilidad, embarazo y lactancia
Embarazo
No se dispone de datos clínicos del uso de ceftriaxona en mujeres embarazadas expuestas. No existen pruebas experimentales de efectos embriopáticos o teratogénicos en animales. Ceftriaxona deberá utilizarse durante el embarazo sólo si los beneficios superan los posibles riesgos para el feto.
Lactancia
Dado que ceftriaxona se excreta en la leche materna, se usará con precaución en mujeres en período de lactancia.
. Efectos sobre la capacidad para conducir y manejar máquinas
La influencia sobre la capacidad para conducir y utilizar máquinas es insignificante, aunque se debe tener en cuenta que ocasionalmente se puede producir mareo.
8. Reacciones adversas
Se han notificado reacciones adversas con una frecuencia rara (≥1/10.000 a <1/1.000), graves y en algunos casos mortales, en prematuros y en recién nacidos a término (edad < 28 días) que habían sido tratados con ceftriaxona intravenosa y calcio. Se han observado precipitados de sales de ceftriaxona-calcio post-mortem en pulmones y riñones.
El alto riesgo de precipitados en recién nacidos es debido al bajo volumen sanguíneo y a la semivida de ceftriaxona más larga en comparación con adultos (ver secciones 4.3, 4.4 y 5.2).
Se ha utilizado la siguiente terminología para clasificar la aparición de reacciones adversas: muy frecuentes (≥ 1/10); frecuentes (≥ 1/100 a <1/10); poco frecuentes (≥ 1/1.000 a <1/100); raras (≥ 1/10.000 a <1/1.000); muy raras (<1/10.000).
| Clasificación de órganos del sistema | Reacciones adversas | Categorías de frecuencia |
|---|---|---|
| Infecciones e infestaciones | Vulvovaginitis | Raras |
| Trastornos de la sangre y del sistema linfático | Anemia | Raras |
| Leucocitopenia | Raras | |
| Granulocitopenia Trombocitopenia | Raras | |
| Eosinofilia | Raras | |
| Trastornos de la coagulación | Muy raras | |
| Agranulocitosis (sobre todo tras 10 días de tratamiento o tras dosis elevadas). | Muy raras | |
| Trastornos del sistema inmunológico | Reacciones anafilácticas o anafilactoides | Raras |
| Urticaria | Raras | |
| Reacciones Jarisch-Herxheimer (ver sección 4.4) | Frecuencia no conocida | |
| Trastornos de sistema nervioso | Cefalea | Raras |
| Mareo | Raras | |
| Encefalopatía | Raras | |
| Trastornos gastrointestinales | Diarrea | Frecuentes |
| Náuseas | Frecuentes | |
| Estomatitis | Frecuentes | |
| Glositis | Frecuentes | |
| Colitis pseudomenbranosa (ver sección 4.4) | Muy raras | |
| Pancreatitis | Muy raras | |
| Hemorragia gastrointestinal | Muy raras | |
| Trastornos hepatobiliares | Precipitación sintomática de ceftriaxona cálcica en la vesícula Biliar (ver sección 4.4) | Raras |
| Aumento de las enzimas hepáticas | Raras | |
| Hepatitis | Frecuencia no conocida | |
| Hepatitis colestásica | Frecuencia no conocida | |
| Trastornos de la piel y tejido Subcutáneo | Exantema | Poco frecuentes |
| Dermatitis alérgica | Poco frecuentes | |
| Rash | Poco frecuentes | |
| Edema | Poco frecuentes | |
| Eritema multiforme | Poco frecuentes | |
| Síndrome de Stevens-Johnson | Muy raras | |
| Necrólisis epidérmica tóxica o Síndrome de Lyell | Muy raras | |
| Síndrome de reacción a fármaco con eosinofilia y síntomas sistémicos (ver sección 4.4) | Frecuencia no conocida | |
| Trastornos renales y urinarios | Oliguria | Raras |
| Aumento de la creatinina sérica | Raras | |
| Precipitación renal de ceftriaxona sódica en pacientes pediátricos (ver sección 4.4) | Muy raras | |
| Hematuria | Muy raras | |
| Trastornos generales y alteraciones en el lugar de administración | Fiebre | Raras |
| Escalofríos | Raras |
Pueden presentarse dolores transitorios en el lugar de la inyección intramuscular, siendo la más probable que ocurra con dosis más elevadas.
Notificación de sospechas de reacciones adversas:
Es importante notificar sospechas de reacciones adversas al medicamento tras su autorización. Ello permite una supervisión continuada de la relación beneficio/riesgo del medicamento.
Reporte las sospechas de reacciones adversas, fallas farmacéuticas y/o terapéuticas a medicamentos al Centro Nacional de Farmacovigilancia. Telefax: 512-9404 o al correo electrónico [email protected]
9. Sobredosis
La sobredosis con cefalosporinas por vía parenteral puede dar lugar a convulsiones, así como a alteraciones gastrointestinales. En caso de sobredosis se deberá suspender de inmediato la administración del fármaco e iniciarse un tratamiento sintomático y de sostén. No existe antídoto específico y ceftriaxona no se elimina por diálisis.
Grupo farmacoterapéutico: Cefalosporinas de tercera generación. Código ATC: J01DD04
Ceftriaxona es una cefalosporina de amplio espectro y acción prolongada para uso parenteral. Su actividad bactericida se debe a la inhibición de la síntesis de la pared celular.
Resistencia
Ceftriaxona puede ser activa contra organismos productores de algunos tipos de beta-lactamasa, por ejemplo, TEM-1. Sin embargo, existen beta-lactamasas que hidrolizan cefalosporinas y que pueden inactivar a la ceftriaxona como es el caso de las beta-lactamasas de espectro extendido presentes en algunas especies como Klebsiella spp. y Escherichia coli, por lo que a pesar de su aparente sensibilidad in vitro, deben considerarse resistentes desde un punto de vista clínico. Así mismo, algunas cepas de Enterobacter spp., Citrobacter freundii, Morganella spp., Serratia spp. y Providencia spp. producen cefalosporinasas cromosómicas inducibles, tipo AmpC. La inducción o desrepresión estable de estas beta-lactamasas cromosómicas antes o durante la exposición a cefalosporinas produce resistencia frente a todas las cefalosporinas.
Ceftriaxona no es activa contra la mayoría de bacterias que presentan proteínas de unión a penicilinas con una afinidad reducida por los fármacos beta-lactámicos, como es el caso de Streptococcus pneumoniae resistente a penicilina. La resistencia también puede deberse a impermeabilidad bacteriana o la presencia de bombas de expulsión. En el mismo microorganismo puede hallarse presente más de una de estas cuatro formas de resistencia.
La información siguiente sólo proporciona una idea aproximada de la probabilidad que el microorganismo sea sensible a ceftriaxona.
Microorganismos frecuentemente sensibles
Gram-positivos aerobios
Staphylococcus spp.coagulasa negativo Staphylococcus aureus*
Streptococcus spp.
Streptococcus pyogenes*
Estreptococos del grupo B (incluido S.agalactiae)
Streptococcus pneumoniae*
Streptococcus viridans
Gram- negativos aerobios
Citrobacter spp.
Citrobacter diversus
Citrobacter freundii
Escherichia coli*
Haemophilus influenzae*
Haemophilus parainfluenzae*
Klebsiella spp.
Klebsiella pneumoniae*
Klebsiella oxytoca*
Moraxella catarrhalis*
Morganella morganii
Neisseria gonorrhoeae*
Neisseria meningitidis*
Proteus mirabilis*
Proteus vulgaris*
Providencia spp.
Salmonella spp.
Serratia spp.
Serratia marcescens
Shigella spp.
Borrelia burgdoferi
Microorganismos para los que la resistencia adquirida puede ser un problema
Aerobios gram-positivos
Staphylococcus epidermidis*
Aerobios gram-negativos
Enterobacter spp.
Enterobacter aerogenes*
Enterobacter cloacae*
Microorganismos resistentes
Aerobios gram-positivos
Enterococcus spp.
Enterococcus faecalis
Enterococcus faecium
Listeria monocytogenes
Staphylococcus spp.meticilín resistentes
Staphylococcus aureus meticilín resistentes
Aerobios gram-negativos
Aeromonas spp.
Achromobacter spp.
Acinetobacter spp.
Alcaligenes spp.
Flavobacterium spp.
Pseudomonas spp.
Pseudomonas aeruginosa.
Anaerobios
Bacteroides fragilis
Bacteroides spp.
Otros
Chlamydia
Mycobacteria
Mycoplama
Rickettsia spp.
*Se ha demostrado eficacia clínica para aislados sensibles en indicaciones clínicas aprobadas.
2. Propiedades farmacocinéticas
Ceftriaxona presenta una farmacocinética no lineal dosis-dependiente para todos los parámetros farmacocinéticas básicos, con excepción de la semivida de eliminación.
Absorción
La concentración plasmática máxima tras una dosis única intramuscular de 1 g es alrededor de 81 mg/l y se alcanza en 2-3 horas tras su administración. El área bajo la curva “concentración en plasma tiempo”, tras la administración intramuscular, es equivalente a la administración intravenosa de una dosis equivalente, indicando que la biodisponibilidad de la ceftriaxona administrada intramuscular es del 100%.
Distribución y biotransformación
El volumen de distribución de la ceftriaxona es de 7-12 L distribuyéndose a numerosos tejidos y fluidos corporales. Tras una dosis de 1-2 g intravenosa se pueden encontrar concentraciones superiores a la concentración mínima inhibitoria para la mayoría de los patógenos responsables de infecciones en más de 60 tejidos y fluidos corporales, incluyendo pulmón, corazón, tractos biliar y hepático, amígdala, oído medio y mucosa nasal, hueso y fluidos cerebroespinal, pleural prostático y sinovial.
Ceftriaxona penetra en las meninges inflamadas de recién nacidos, lactantes y niños. Las concentraciones de ceftriaxona en LCR son > 1,4 mg/l, 24 horas después de la administración de ceftriaxona por vía intravenosa en dosis de 50-100 mg/Kg (recién nacidos y lactantes respectivamente). La concentración máxima en LCR se alcanza a las 4 horas tras la inyección intravenosa, obteniéndose un valor medio de 18 mg/l. En la meningitis bacteriana, la difusión media en el LCR es del 17% con respecto a la concentración plasmática, mientras que es del 4% en pacientes con meningitis aséptica.
En los pacientes adultos con meningitis la inyección de 50 mg/Kg permite, entre las 2 y 24 horas, alcanzar concentraciones en LCR varias veces superiores a las concentraciones inhibitorias mínimas necesarias para la mayoría de los gérmenes causantes de meningitis.
Ceftriaxona atraviesa la barrera placentaria y se excreta en la leche materna a bajas concentraciones.
Unión a proteínas
Ceftriaxona se une a la albúmina plasmática de forma reversible y dicha unión decrece con el aumento de concentración. Así una unión del 95% a concentraciones plasmáticas < 100 mg/l llega al 85% a la concentración de 300 mg/l. Debido al menor contenido de albúmina en el líquido intersticial, la proporción de ceftriaxona libre en éste es mayor que en plasma.
Metabolismo
Ceftriaxona no se metaboliza sistemáticamente, únicamente la flora intestinal la transforma en metabolitos inactivos.
Eliminación
El aclaramiento plasmático total es de 10-22 ml/min. El 50-60% de ceftriaxona se excreta inalterada en la orina en tanto que el 40-50% es excretada por la bilis, también en forma inalterada.
La vida media de eliminación en los adultos es de aproximadamente 8 horas.
Poblaciones especiales:
En la primera semana de vida, el 80% de la dosis es excretada por la orina; alrededor del primer mes, esto baja a niveles similares a los de adultos. En niños de menos de 8 días de edad y en pacientes de edad avanzada mayores de 75 años, el promedio de la semivida de eliminación es normalmente de dos a tres veces mayor que la de adultos jóvenes.
En pacientes con disfunción renal o hepática, la farmacocinética de ceftriaxona se altera sólo mínimamente y la vida media de eliminación aumenta de forma muy ligera; si sólo la función renal está alterada, aumenta la eliminación por bilis y, si la alterada es sólo la función hepática, aumenta entonces la eliminación renal (ver sección 4.2).
3. Datos preclínicos sobre seguridad
La administración repetida en animales reveló la formación de cálculos en la vesícula biliar de perros y, en menor grado, de monos.
La ceftriaxona no tuvo efectos sobre los parámetros para la reproducción, no encontrándose actividad mutagénica.
CEFTRIAXONA QUALIPHARM 1 G POLVO PARA SOLUCIÓN INYECTABLE I.V.
Vial de polvo
Ninguno
2. Incompatibilidades
Las soluciones que contengan ceftriaxona no se deben mezclar ni se les debe añadir otros agentes. En particular los diluyentes que contengan calcio, (Por Ej., solución Ringer, solución Hartmann) no se deben usar para reconstituir los viales de ceftriaxona ni para diluir los viales reconstituidos cuando vaya a ser administrado por vía IV ya que puede formar precipitados. La Ceftriaxona no debe mezclarse ni administrarse simultáneamente con soluciones que contengan calcio (ver secciones 4.2, 4.3, 4.4 y 4.8 de la monografía y del inserto).
Ceftriaxona es incompatible con amsacrina, vancomicina, fluconazol, y aminoglucósidos.
3. Periodo de validez
Vida útil: 36 meses
Después de la reconstitución para uso intravenoso (agua estéril para inyección), las soluciones mantienen al menos 90% de su potencia durante 24 horas a temperatura no mayor de 30 °C o 3 días si se refrigeran a 5°C± 3°C.
4. Precauciones especiales de conservación
Almacenar el vial con el polvo a una temperatura no mayor de 30°C, proteger de la humedad. Producto medicinal manténgase fuera del alcance de los niños.
5. Naturaleza y contenido del envase
CEFTRIAXONA QUALIPHARM 1 G POLVO PARA SOLUCÓN INYECTABLE I.V.
Se presenta en vial de vidrio color ámbar tipo I de 10 ml, con tapón de hule y retapa de aluminio, en caja de cartón.
Presentación:
COMERCIAL: CAJA X 100 VIALES.
HOSPITALARIA: CAJA X 100 VIALES.
Km 20.5 Aldea Sta. Inés, Carretera a San José Pinula, Guatemala, C.A.
https://www.aemps.gob.es/cima/pdfs/es/ft/62635/FT_62635.pdf - Septiembre 2021.
Biralbac AB
Aeroxol
Ambiare jarabe
Aeroxol CL
Ambiare tabletas
Cofedrin gotas
Fexoalergic
Lorabet tabletas
Lorabet jarabe
Fluxone
Terizin tabletas
Bactemicina caplet
Bactemicina inyectable
Biclavuxil suspensión
Biclavuxil caplets
Clavuxil suspensión
Cefina caplets recubiertas
Cefina suspensión
Fosfobac 3g
Levolona 500 mg
Levolona 750 mg
Oltrex
Formiben
Oprestat
Pitavin
Metcemia
Taglip M
Dapaglucol
Iberstat
Taglip
Hiperdipino
Qualistran
Bicardia
Dexkedol tabletas
Dexkedol inyectable
Dexkedol gránulos
Dexkedol N
Dexkedol gel
Pirogésic tableta
Pirogesic inyectable
Pirogesic gel
Texib
Dexkedol N Tabletas
Kerolac
Lozaprem infantil gránulos
Lanolat
Hemfol
Neurofol
Nauxil
Prelacta
Coliverio
Coliverio Plus
Famotin
Gastrobacter
Lozaprem cápsulas
Nitaxin suspensión
Nitaxin caplets
Laxiglicol
Funazin
Naudrato
Citapram
Trazodona
Quetiapina
Lamotrigina
Biperideno
Acido Valproico
Carbonato de Litio
Pregax
Latonin
Flufenazina
Escanso
Dermafast
Bactemicina Crema Vaginal
Hydrogel crema tópica
CalciD
Bactemicina K Crema Vaginal
Septigel
Bactemicina K óvulos
Dermazol crema
Ketospor solución
Ketospor crema
Qualistatina suspensión
Qualistatina gel
Cloramicina
Oftacetamida
Dexamicina ungüento
Dexamicina colirio
Lanolat AD
Rizatrip
Dexa Triviplex
Fortalezza jarabe
Fortalezza inyectable
Triviplex
Dolotriviplex
Cofedrin® 9 a 17 años
Cofedrin® 4 años a 8 años
Bactid spray
Bactid gel
Dexametasona inyectable
Dexametasona tabletas
Complejo B
Fenilbutazona inyectable
Qualifenac inyectable
Penicilina Procaína 4,000,000
Penicilina benzatiníca
Sulfatrimetoprim